DOCUMENTACIÓN NECESARIA ANTE UNA EMERGENCIA MIGRATORIA

Publicado el 8 de febrero de 2025, 7:39

ADVERTENCIA: La información aquí compartida es de carácter general. Aunque sea útil y ayude a orientar, NO CONSTITUYE ASESORÍA LEGAL. Cada caso migratorio es distinto. Consulte a su abogado/a si desea consejos legales sobre su situación migratoria.

Agradecemos a The Alliance of Idaho por publicar esta obra.


Información, Recursos y Formularios

  • Números de Teléfono Importantes

  • Datos Familiares Importantes

  • Información Médica y Datos de Familia

  • Datos Importantes en Caso de Problemas Legales, Robo de Identidad y Fraude

  • Datos de Emergencia para Mascotas

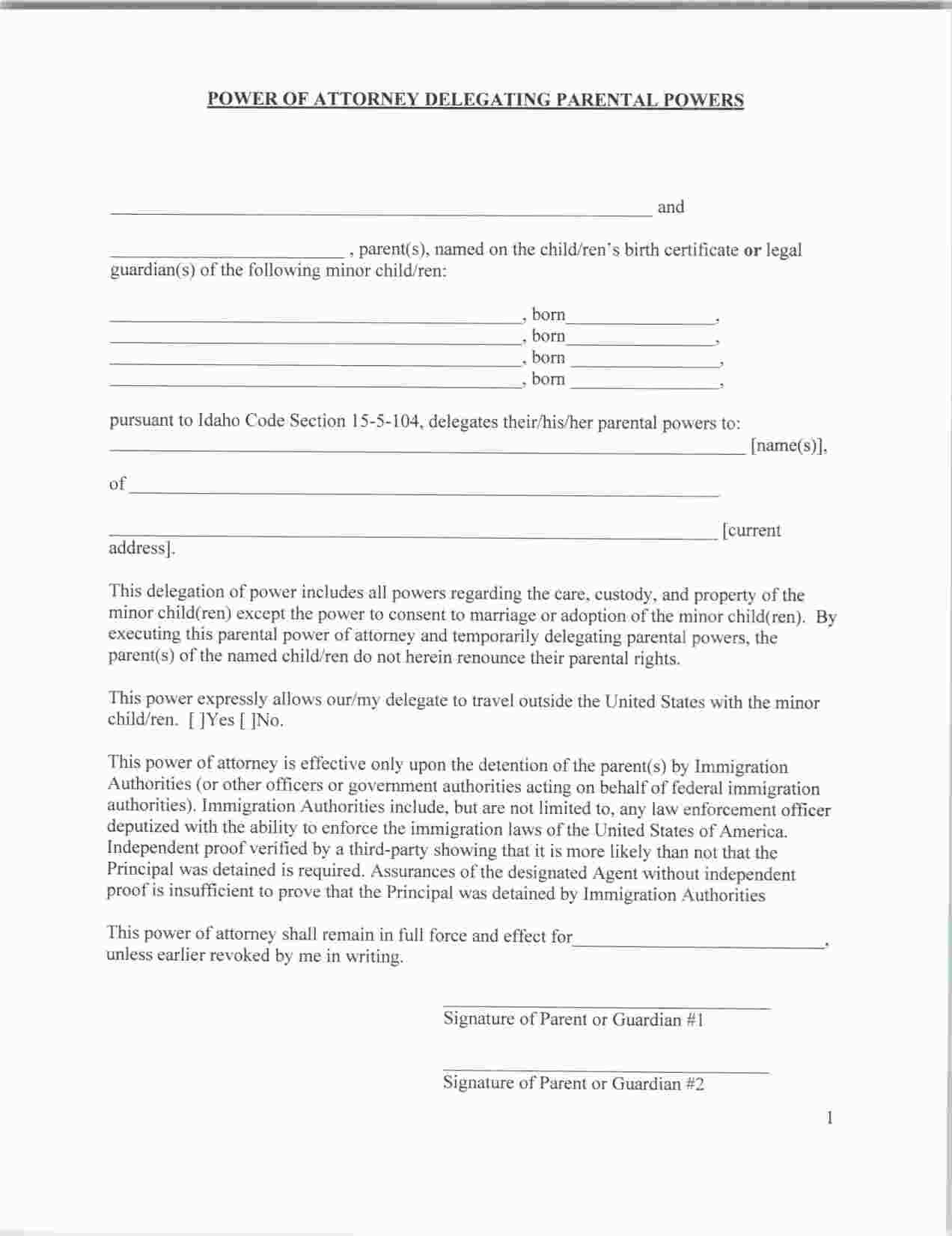
  • Poder Notarial Delegando Poder Paternal (Patria Potestad)

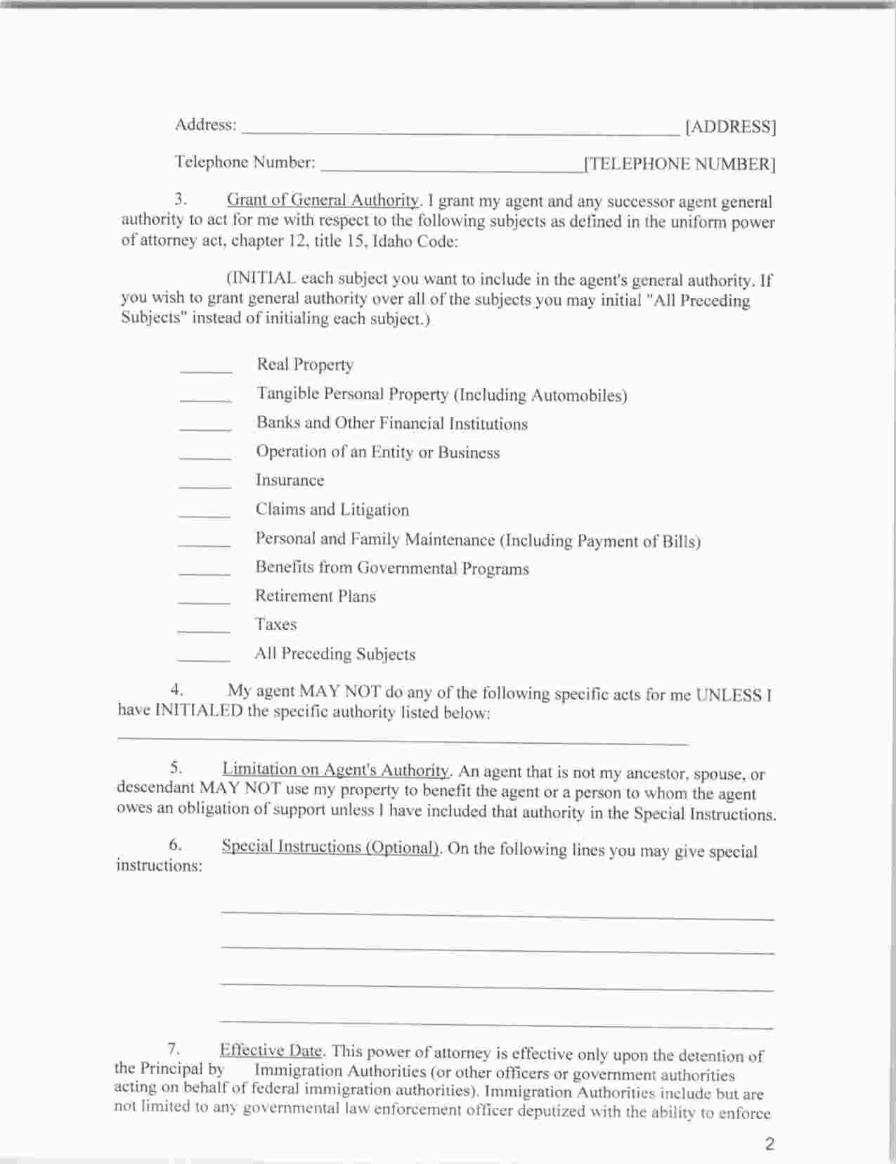
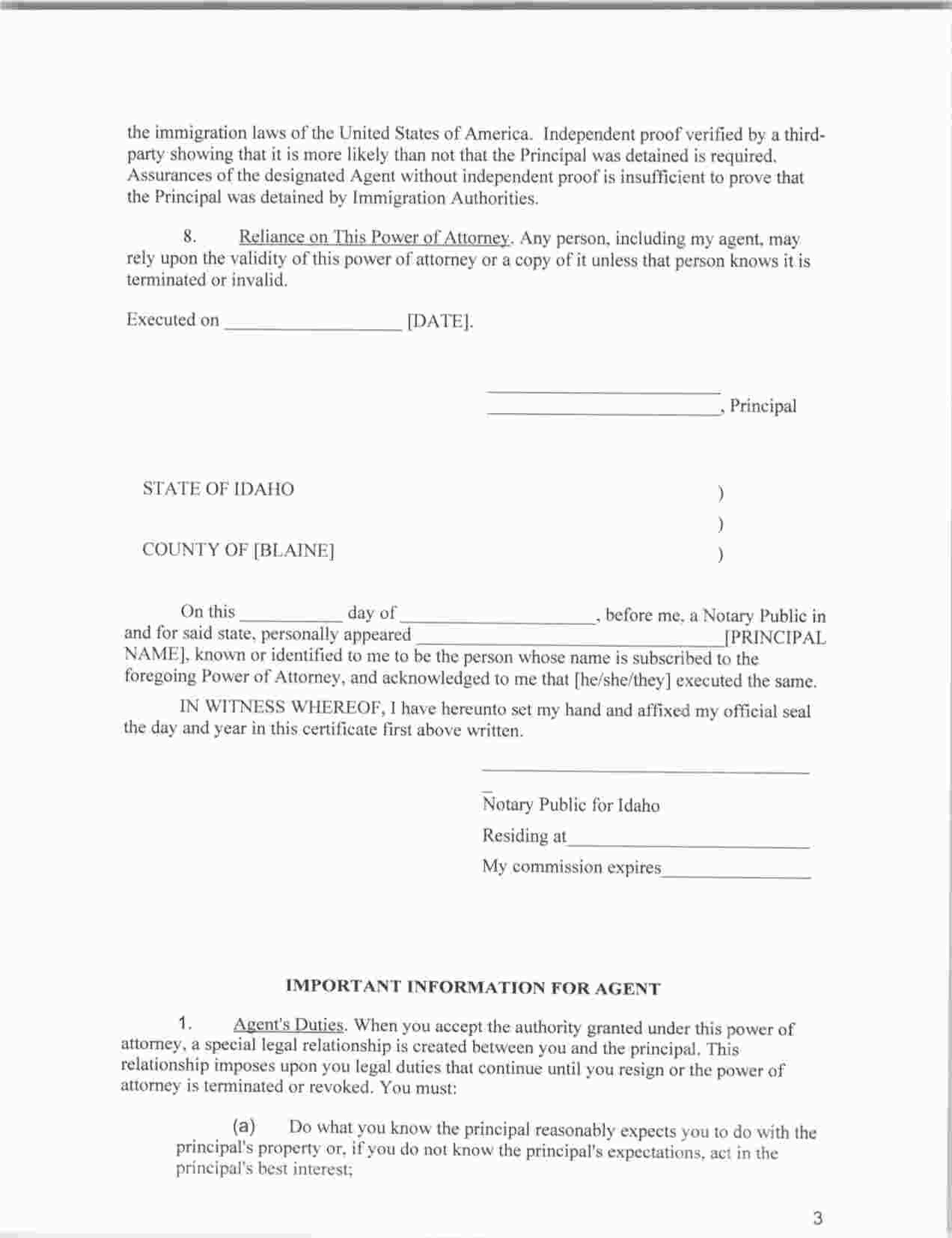
  • Poder Notarial Delegando Poderes Administrativos y Actos de Dominio

  • Lista de Abogados y Proveedores de Servicios de Inmigración

  • Información sobre los Consulados más Cercanos

  • Oficinas Regionales de ICE y Centros de Detención (Guía para Ubicar a una Persona Detenida)

  • Documentos Explicando sus Derechos Legales ante ICE

 


 

Números de Teléfono Importantes

Emergencia: En caso de emergencia grave, llame al 911.

  • Consulado de mi país:

  • Familiares/Contactos importantes en EE.UU.:

    • Nombre:

    • Teléfono de casa:

    • Celular:

    • Trabajo:

    • Relación:

  • Familiares/Contactos importantes en mi país:

    • Nombre:

    • Teléfono de casa:

    • Celular:

    • Trabajo:

    • Relación:

  • Seguro de coche:

    • Compañía:

    • Número de póliza:

    • Vehículo 1 (VIN/Placa):

    • Vehículo 2 (VIN/Placa):

  • Seguro de hogar/Seguro de alquiler:

    • Compañía:

    • Teléfono:

    • Número de póliza:

  • Información médica importante:

    • Nombre del médico:

    • Teléfono:

    • Nombre del dentista:

    • Teléfono:

    • Nombre del pediatra:

    • Teléfono:

    • Hospital:

    • Teléfono:

    • Farmacia:

    • Teléfono:

 


 

Datos Familiares Importantes

Use este formulario para tener toda la información importante en el mismo lugar. Guarde los originales de cada documento en un lugar seguro (por ejemplo, una caja de seguridad).

  • Nombre completo:

  • Fecha de nacimiento:

  • Número de identificación escolar (para menores):

  • Alergias:

  • Condiciones médicas:

  • Medicamentos:

  • Donante de órganos: Sí [ ] No [ ]

  • Personas autorizadas para recoger a mis hijos en la escuela/guardería:

  • Personas que NO tienen autorización para recoger a mis hijos:

Aviso importante: Si hay una orden de restricción, adjunte una copia de esta orden y presente otra copia con la escuela y/o guardería de sus hijos.

 


 

Datos de Emergencia para Mascotas

  • Nombre de la mascota:

  • Fecha de nacimiento:

  • Raza:

  • Descripción:

  • Número de registro:

  • Medicamentos:

  • Problemas médicos:

  • Veterinario:

  • Teléfono del veterinario:

  • Alojamiento de emergencia:

Adjuntar una fotografía de cada mascota.

 


Consulados en EE.UU.


Consulado Mexicano

Boise, ID (Nueva Dirección)

📍 454 W. Washington St., Boise, ID 83712
📞 Teléfono: 208-343-6228
📠 Fax: 208-343-6228
📧 Email: infoboise@sre.gob.mx
🌐 Sitio Web

Salt Lake City, UT

📍 660 S 200 E, Suite 300, Salt Lake City, UT 84111-3835
📞 Teléfono: 801-521-8502
🌐 Sitio Web

📍 111 E Broadway, Suite 220, Salt Lake City, UT 84111
📞 Teléfono: 385-267-1146
📧 Email: connerslc@gmail.com

Denver, CO

📍 6795 E Tennessee Ave, Suite 550, Denver, CO 80224
📞 Teléfono: 303-355-8555
📧 Email: consoerdenver@consuladoperu.net
🌐 Sitio Web

Portland, OR

📍 1305 SW 12th Avenue, Portland, OR 97201
📞 Teléfono: 503-274-1442
📧 Email: portland@sre.gob.mx
🌐 Sitio Web

San Francisco, CA

📍 870 Market Street, Suite 1075, San Francisco, CA 94102
📞 Teléfono: 415-362-5185
📧 Email: informacion@consuersf.com
🌐 Sitio Web


Consulado Peruano

Denver, CO

📍 6795 E Tennessee Ave, Suite 550, Denver, CO 80224
📞 Teléfono: 303-355-8555
📧 Email: consuordenver@consuladoperu.net
🌐 Sitio Web


Consulado Ecuatoriano

Los Ángeles, CA

📍 3600 Wilshire Blvd, Suite 1404, Los Ángeles, CA 90010
📞 Teléfono: 323-618-6020
📧 Email: ceculosangeles@cancilleria.gob.ec
🌐 Sitio Web


Consulado Argentino

Los Ángeles, CA

📍 5055 Wilshire Blvd, Suite 210, Los Ángeles, CA 90036
📞 Teléfono: 323-954-9155
📧 Email: consulado@cancilleria.gob.ar
🌐 Sitio Web


Consulado Guatemalteco

Seattle, WA

📍 18000 International Blvd, South Tower, Suite 1005, Seattle, WA 98188
📞 Teléfono: 206-888-5319 / 206-888-5320
📧 Email: consseattle@minex.gob.gt
🌐 Sitio Web

Denver, CO

📍 1001 S Monaco St Pkwy, Suite 101, Denver, CO 80224
📞 Teléfono: 303-629-9212
📧 Email: consdenver@minex.gob.gt
🌐 Sitio Web

San Francisco, CA

📍 659 A Merchant Street, San Francisco, CA 94111
📞 Teléfono: 415-563-8319
📧 Email: conssanfrancisco@minex.gob.gt


Consulado Salvadoreño

Salt Lake City, UT

📍 124 S 400 E, Suite 410, Salt Lake City, UT 84111
📞 Teléfono: 385-259-0300 / 888-301-1130
📧 Email: consuladosaltlakecity@rree.gob.sv
🌐 Sitio Web

Seattle, WA

📍 Broderick Building, 615 Second Ave, Suite 50, Seattle, WA 98104
📞 Teléfono: 206-971-7930
📧 Email: consuladoseattle@rree.gob.sv
🌐 Sitio Web

Aurora, CO

📍 1450 S. Havana St, Suite 100, Aurora, CO 80012
📞 Teléfono: 720-485-5412
📧 Email: consuladoaurora@rree.gob.sv
🌐 Sitio Web


Consulado Nicaragüense

New York, NY

📍 820 Second Ave, Suite 802, New York, NY 10017
📞 Teléfono: 212-986-6562


Consulado Panameño

Los Ángeles, CA

📍 111 W Ocean Blvd, Suite 1120, Long Beach, CA 90802
📞 Teléfono: 562-612-4677
📧 Email: consulate.pty.lax@outlook.com


Consulado Costarricense

Los Ángeles, CA

📍 8383 Wilshire Blvd, Suite 641, Beverly Hills, CA 90211
📞 Teléfono: 323-424-7112
📧 Email: concr-us-ca2@rree.go.cr
🌐 Sitio Web


Consulado Hondureño

Seattle, WA

📍 1107 Grady Way SW, Suite 100, Renton, WA 98057
📞 Teléfono: 206-420-0947
📧 Email: consuladoseattle@email.com

San Francisco, CA

📍 1700 California St, Suite 460, San Francisco, CA 94109
📧 Email: consuladohnsanfrancisco@gmail.com
🌐 Sitio Web


Consulado Boliviano más cercano

Los Ángeles, CA

📍 3701 Wilshire Blvd, Suite 1065, Los Ángeles, CA 90010
📞 Teléfono: 213-388-0475
📧 Email: info@boliviala.org
🌐 Sitio Web


Consulado Colombiano más cercano

San Francisco, CA

📍 456 Montgomery St, Suite 400, San Francisco, CA 94111
📞 Teléfono: 888-761-3326
📧 Email: csanfrancisco@cancilleria.gov.co
🌐 Sitio Web

Los Ángeles, CA

📍 8383 Wilshire Blvd, Suite 930, Beverly Hills, CA 90211
📞 Teléfono: 888-764-3326
📧 Email: closangeles@cancilleria.gov.co
🌐 Sitio Web


Oficinas Regionales de ICE y Centros de Detención

Proporcionamos información sobre cómo localizar a una persona detenida mediante el Localizador en Línea de ICE.


Oficinas de ICE

Boise Field Office

  • Dirección: 1185 S. Vinnell Way, Boise, ID 83709
  • Teléfono: (208) 685-6635

Idaho Falls Office

  • Dirección: 207 S N Boulevard, Idaho Falls, ID 83402
  • Teléfono: (208) 535-5100

Spokane Field Office

  • Dirección: 411 W. Cataldo Ave, Spokane, WA 99201
  • Teléfono: 509-329-3107

Twin Falls Office

  • Dirección: 212 Deere Street, Twin Falls, ID 83301
  • Teléfono: (208) 737-3820

Seattle Field Office

  • Dirección: 12500 Tukwila International Blvd, Seattle, WA 98168
  • Teléfono: 206-277-2080
  • Estados cubiertos: Alaska, Oregón, Washington

Utah Field Office

  • Dirección: 2975 Decker Lake Dr, Suite 100, West Valley City, UT 84119-6096
  • Teléfono: 801-736-1200
  • Estados cubiertos: Utah, Idaho, Montana, Nevada

 


 

Derechos Legales ante ICE

En caso de contacto con agentes de ICE, recuerde:

  • Tengo derecho a permanecer en silencio.

  • Quiero hablar con un abogado.

  • No consiento ninguna búsqueda sin una orden judicial.

  • Si no entiendo, necesito un intérprete en español.

 


FAVOR DE DESCARGAR LAS FORMAS ABAJO QUE SE NECESITEN

Añadir comentario

Comentarios

Todavía no hay comentarios